सबसे पहले, आइए हम स्पष्ट करते हैं किलूटिनऔर ल्यूटिन एस्टर दो अलग-अलग चीजें हैं, लेकिन वे पूरी तरह से अलग नहीं हैं। यह सिर्फ एट्रिब्यूशन की बात है। प्राकृतिक पौधों में ल्यूटिन का मुख्य रूप ल्यूटिन एस्टर है। तो, वास्तव में ल्यूटिन और ल्यूटिन एस्टर के बीच अंतर क्या है?

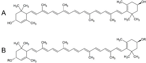
(ए: ल्यूटिन, बी: ल्यूटिन एस्टर्स)
1. संपत्ति
ल्यूटिन एक पौधा ल्यूटिन है, जो एक बहुत ही शक्तिशाली एंटीऑक्सिडेंट है।
ल्यूटिन एस्टर का मुख्य घटक ल्यूटिन डिपाल्मेटेट है, जो ऑल-ट्रांस आणविक कॉन्फ़िगरेशन में मौजूद है। यह एक कैरोटीनॉयड और एक फैटी एसिड है।
2. अवशोषण विधि
ल्यूटिन मुख्य रूप से दैनिक आहार से प्राप्त किया जाता है और मानव शरीर द्वारा सीधे आंतों में अवशोषित किया जा सकता है।
हालांकि, ल्यूटिन एस्टर मानव शरीर में प्रवेश करते हैं और पहले विघटित होते हैं, और फिर ल्यूटिन में परिवर्तित हो जाते हैं और फिर मानव शरीर द्वारा अवशोषित होते हैं।
3. स्थिरता
भंडारण और खपत की प्रक्रिया में, प्रकाश, गर्मी और पीएच मूल्य में परिवर्तन के कारण ल्यूटिन की उपयोग दर बहुत कम हो जाएगी। इसकी लाइट और थर्मल स्टेबिलिटी ल्यूटिन एस्टर जितनी अच्छी नहीं है। ल्यूटिन एस्टर उनके आणविक विन्यास के कारण भंडारण और खपत में अधिक स्थिर हैं। फिर ल्यूटिन की उपयोग दर भी कम है।
4. समारोह
ल्यूटिन में एंटी-एजिंग प्रभाव होता है। यह कार्डियोवैस्कुलर स्केलेरोसिस और अन्य बीमारियों का विरोध कर सकता है। ल्यूटिन में कैरोटीनॉयड भी अधिक होते हैं, इसलिए इसमें आंखों की सुरक्षा का प्रभाव भी होता है। ल्यूटिन ल्यूटिन एस्टर के बराबर नहीं है। ल्यूटिन एस्टर को अवशोषित करने से पहले ल्यूटिन में पचाने की आवश्यकता होती है, और ल्यूटिन को सीधे अवशोषित किया जा सकता है। आम तौर पर, ल्यूटिन का बाजार मूल्य ल्यूटिन एस्टर की तुलना में अधिक है।
5. एसिड प्रतिरोध
ल्यूटिन में खराब एसिड प्रतिरोध है, और यह प्रत्यक्ष खपत के बाद पेट के एसिड द्वारा भंग होने और मानव अवशोषण को प्रभावित करने की अधिक संभावना है।
ल्यूटिन एस्टर की खपत और हानि बहुत कम होती है जब वे खाने के बाद पेट से गुजरते हैं और मानव शरीर के अवशोषण को प्रभावित नहीं करते हैं।
कौन सा बेहतर है?
वर्तमान में कौन सा रूप बेहतर है, यह अभी भी अनिर्णायक है। अध्ययनों से पता चला है कि लेने के बादलूटिनया 3 महीने के लिए लगातार lutein एस्टर, वहाँ आंख धब्बेदार वर्णक घनत्व और रक्त lutein एकाग्रता में कोई महत्वपूर्ण अंतर नहीं है. हालांकि, एक ही रक्त ल्यूटिन एकाग्रता प्राप्त करने के लिए, ल्यूटिन एस्टर खुराक को निगलने की आवश्यकता होती है जो ल्यूटिन खुराक से अधिक होती है।





