1. उत्पाद परिचय
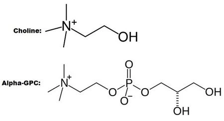
अल्फा-जीपीसी पाउडरएक कोलीन युक्त यौगिक है जो प्राकृतिक रूप से मस्तिष्क के साथ-साथ मांस, मछली, अंडे और डेयरी जैसे खाद्य पदार्थों में थोड़ी मात्रा में पाया जाता है, जिसे कोलीन अल्फोसेरेट और अल्फा-ग्लिसरीलफॉस्फोरिलकोलाइन के रूप में भी जाना जाता है। अल्फा-जीपीसी भी एक प्राकृतिक फॉस्फोलिपिड है। अध्ययनों और साक्ष्यों से पता चलता है कि अल्फा-जीपीसी को कोलीन के सबसे कुशल स्रोतों में से एक माना जाता है, जो बी विटामिन कॉम्प्लेक्स का वसा में घुलनशील सदस्य है। यह इंगित करता है कि अल्फा-जीपीसी कोलीन की सांद्रता को प्रभावी ढंग से बढ़ा सकता है।

अल्फा-जीपीसी तेजी से रक्त-मस्तिष्क बाधा के पार मस्तिष्क में कोलीन पहुंचाता है और एसिटाइलकोलाइन का जैवसंश्लेषक अग्रदूत है। यह अधिकांश देशों में एक गैर-पर्ची दवा है। एफडीए ने निर्धारित किया कि 196.2 मिलीग्राम/व्यक्ति/दिन से अधिक का सेवन आम तौर पर सुरक्षित (जीआरएएस) माना जाता है।
अल्फा-जीपीसी दो स्रोतों से आता है, प्राकृतिक और सिंथेटिक। बाज़ार में, अधिकांश अल्फा जीपीसी सिंथेटिक स्रोत है।
2. उत्पाद विशिष्टता
|
सामान |
अल्फा जीपीसी |
|
प्रकार |
दानेदार (नम प्रतिरोधी) |
|
रंग |
सफेद से हल्का सफेद |
|
परख |
50.0% से अधिक या उसके बराबर |
|
दूषित पदार्थों |
भारी धातुएँ (Pb के रूप में) 20 पीपीएम से कम या उसके बराबर |
|
जीवाणुतत्व-संबंधी
|
कुल प्लेट संख्या 1000 सीएफयू/जी से कम या उसके बराबर यीस्ट और फफूंद 100 सीएफयू/जी से कम या उसके बराबर साल्मोनेला नेगेटिव /25 ग्राम ई. कोलाई नकारात्मक स्टैफिलोकोकस ऑरियस नकारात्मक |
|
आवेदन |
कैप्सूल, ठोस पेय पदार्थ (मिश्रित), पाउडर |
|
शेल्फ जीवन |
24 माह |
3. सरलीकृत उत्पादन प्रक्रिया
3.1 आवेदन में आने वाली समस्याएँ

◆पानी सोखना बहुत आसान।
◆हवा के संपर्क में आने पर शीघ्र तरल हो जाता है।
◆ कैप्सूल और टैबलेट का उत्पादन करते समय मशीन से चिपकना आसान है।
3.2. एचएसएफ क्या कर सकता है?

3.3 एचएसएफ कैसे कर सकता है?

4. हमारी ताकत
|
उत्पादों
|
नमीरोधी परीक्षण 25 डिग्री तापमान और 80% आर्द्रता वाले वातावरण में |
||||
|
0h |
2h |
4h |
8h |
24h |
|
|
-जीपीसी पाउडर |
|
|
|
|
|
|
एचएसएफ-जीपीसी ग्रेनले |
|
![]() |
![]() |
![]() |
![]() |
| ग्रेनले | |||||
◆ उन्नत पेटेंटयुक्त ग्रैन्यूलेशन और कोटिंग तकनीक।
◆ स्क्रीनिंग और सुखाने जैसे बुद्धिमान नियंत्रण उपकरण।
◆ अच्छा नमी प्रतिरोधी प्रभाव, 24 घंटे हवा के संपर्क में रहने के बाद भी यह मुक्त रूप से बहने वाला पाउडर रूप है।
◆ उत्पादन क्षमता में काफी सुधार हुआ।
5. अनुप्रयोग

अल्फा-जीपीसी पाउडरखाद्य उद्योग में पोषक तत्व बढ़ाने वाले, आहार अनुपूरक और फार्मास्युटिकल उद्योग के रूप में व्यापक रूप से उपयोग किया जाता है।
बाजार में, अधिकांश अल्फा-जीपीसी उत्पाद विभिन्न पोषक तत्वों की खुराक के साथ मिश्रित होते हैं, जो किशोरों और मध्यम आयु वर्ग और बुजुर्ग समूहों के लिए उपयुक्त हैं।
|
|
![]() |
6. सुपर क्वालिटी
नवोन्मेषी आणविक आसवन तकनीक।
विभिन्न रूप: पाउडर, और दाना उपलब्ध हैं।
हरित उत्पादन प्रक्रिया: उत्पादन के दौरान न तो विलायक और न ही उत्प्रेरक का उपयोग किया जाता है।
अंतर्राष्ट्रीय सम्मानित प्रमाणन मानक: आईपी (गैर-जीएमओ), एफएसएससी22000, आईएसओ9001, कोषेर, हलाल, सीजीएमपी।
बड़ी सूची और लचीला परिवहन: वायु, समुद्री और रेल परिवहन सहित व्यावसायिक लॉजिस्टिक सेवा।
7. उत्पाद सुरक्षा
सावधानीपूर्वक चयनित कच्चा माल
स्थिर उपस्थिति: प्रत्येक बैच के लिए स्थिर भौतिक उपस्थिति।
360 डिग्री प्रदूषक नियंत्रण: पीएएच, कीटनाशक, डाइऑक्सिन, सूक्ष्मजीव और भारी धातु।
स्वयं की लैब और तृतीय पक्ष परीक्षण: हमारी अपनी लैब और तृतीय-प्रयोगशाला दोनों से परीक्षण रिपोर्ट उपलब्ध हैं।
8. उत्पाद योग्यता
ISO9001, ISO22000, FAMI-QS, IP(NON-GMO), कोषेर, हलाल जैसे प्रमाणपत्र मौजूद हैं।

फ़ैक्टरी दृश्य (वीडियो विवरण के लिए क्लिक करें)
![]() |
|
![]() |
![]() |
|
![]() |
![]() |
|
![]() |
लोकप्रिय टैग: अल्फा-जीपीसी पाउडर, चीन, फ़ैक्टरी, निर्माता, आपूर्तिकर्ता, निर्माता, थोक, खरीदें, मूल्य, थोक, सर्वोत्तम, बिक्री के लिए










कोलीफॉर्म नेगेटिव

























